Introduction
In our fast-paced world, cold brew tea is gaining quiet popularity for its refreshing taste and notably absent bitterness.
Unlike traditional hot brewing, this method involves steeping tea leaves in cold water for several hours, allowing flavours to release slowly and gently.

A recent study published in Food Chemistry by a team from China Anhui Agricultural University, titled "Metabolomics analysis reveals the chemical basis of aroma, taste, and colour formation in cold-brewed green tea soup", offers scientific insight. It found that:
green tea cold-brewed at 4°C develops a unique quality profile after just one hour.

Key Findings
01. Low-Temperature Brewing Unlocks Floral Notes
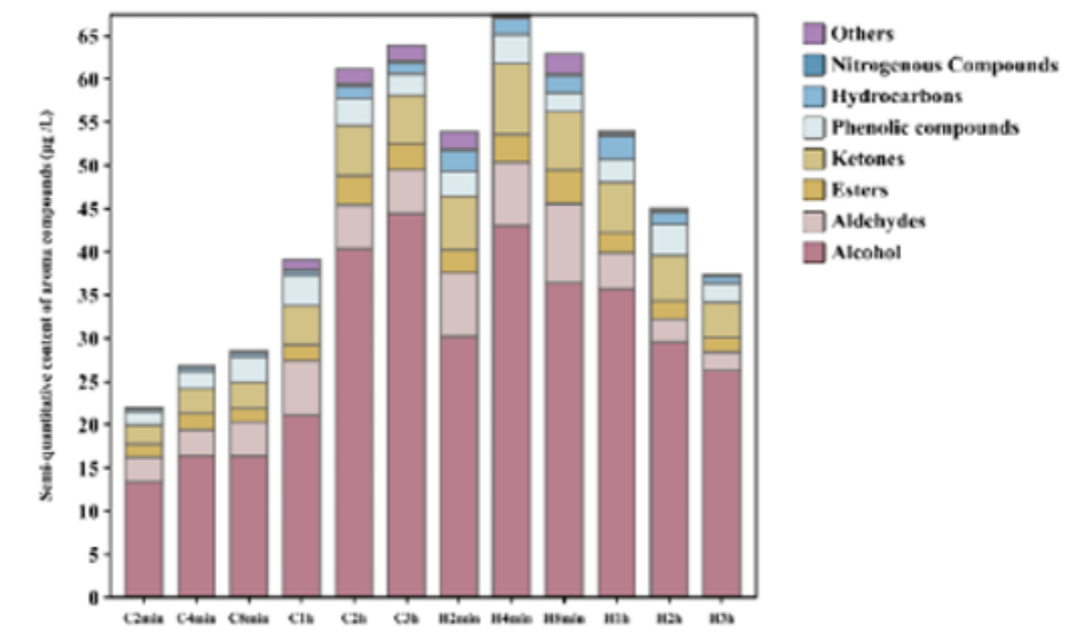
The researchers used Anji Bai Cha(green tea)with a fixed leaf-to-water ratio (1:50 g/mL). They analysed the tea soup at intervals of 2 minutes, 4 minutes, 8 minutes, 1 hour, 2 hours, and 3 hours under both cold brew (4°C) and hot brew (80°C) conditions.
Changes in the Content of Various Volatile Compounds with Soaking Time
The study revealed that during the initial cold brew stage (2-8 minutes), low-boiling-point alcohols like 3-methyl-1-butanol were released in small quantities, imparting a subtle grassy note, while distinct floral aromas were not yet prominent.
When the cold brewing time reached the 1-hour mark, key aromatic compounds began to shine. The concentrations of alcohols such as linalool and geraniol, which carry lily and rose-like scents, increased significantly, giving the tea soup a clear floral character.
After 3 hours of cold brewing, these alcohols accumulated to their peak levels. The aroma transformed from "subtle" to "rich and lingering," as if the essence of fresh flowers had fully infused into the water.
In contrast, during hot brewing (80°C), these alcohols were released rapidly within 8 minutes. However, the high temperature also accelerated their evaporation.

Changes in the Aroma Profile of Tea Infusion Over Time: Cold Brew vs. Hot Brew
Consequently, after 1 hour, the concentration of these alcohols in the hot-brewed tea was lower than in the cold-brewed tea, leading to a noticeable weakening of the floral notes.
Simultaneously, during the first hour of cold brewing, the dissolution of aldehydes (e.g., hexanal, pentanal) increased linearly over time, contributing fresh, grassy, and citrusy nuances.
Beyond the 1-hour point, concentrations of aldehydes like (E)-2-heptenal rose further, making the "fresh green" aroma more pronounced. Meanwhile, ketones such as 4-methyl-3-penten-2-one accumulated steadily between 1 and 3 hours of cold brewing, adding a unique fruity layer to the foundational floral bouquet.
Hot brewing showed the opposite trend for these compounds: aldehydes were extracted in large amounts within 4 minutes ((E,E)-2,4-Heptadienal contributed a strong fatty note) but decreased rapidly after 8 minutes due to volatilisation. The ketone trans-β-ionone reached its peak concentration in hot brew after 1 hour, imparting a potent floral aroma, but its extraction level remained consistently lower in cold brew throughout the process.
Changes in Volatile Compounds Over Steeping Time
02. Cold Brew Tea: More Umami, More Sweetness, Less Bitterness
The research found that during the initial cold brew stage (2-8 minutes), only a small amount of caffeine was dissolved, resulting in almost no perceptible bitterness.
After 1 hour of cold brewing, the caffeine concentration reached 23.20 μg/mL, about 57% of the level found in tea hot-brewed for just 4 minutes (40.90 μg/mL), meaning the bitterness remained relatively mild.
If cold brewing continued for up to 3 hours, the rate of caffeine extraction slowed down, preventing any significant increase in bitterness.
Changes in the Flavor Profile of Tea Over Time: Cold Brew vs. Hot Brew
Similarly, the release of the astringent compound EGCG was much more restrained. After 1 hour of cold brewing, the EGCG content was 45.6 μg/mL, a mere 47% of the amount found in tea hot-brewed for just 2 minutes (97.56 μg/mL).
Even after 3 hours, the EGCG concentration had only slowly risen to 71.82 μg/mL, keeping the astringency at a barely perceptible level throughout.
The low temperature acts like a "slow-motion button" for bitter and astringent compounds, preventing the "aggressive release" typical of hot brewing.
Changes in Catechins, Theanine, and Caffeine Over Time: Cold Brew vs. Hot Brew
Regarding umami, after 1 hour of cold brewing, the extraction rate of L-theanine—a key umami compound—was 9.2% higher than in tea hot-brewed for 4 minutes, giving the tea soup a noticeable savoury freshness.
Extending the cold brew time to 3 hours saw the L-theanine concentration continue to rise, transforming the umami from "light" to "rounded and full," reminiscent of the sweetness found in fresh spring tea leaves.
The dissolution of soluble sugars (glucose, sucrose) followed a "longer time, sweeter taste" pattern. After 1 hour of cold brewing, the sugar content was about 85% of that in hot-brewed tea.
After 3 hours, their concentration reached nearly 95% of the hot brew level. Working in harmony with L-theanine, these sugars elevated the tea's taste from "mildly sweet" to a "clean, sweet flavour with a lingering sweet aftertaste."
Changes in Flavor Compounds Over Steeping Time
03. Why Cold Brew Tea Stays Greener
The green colour of tea comes from chlorophyll. Cold brewing inhibits the activity of enzymes that degrade chlorophyll, allowing both chlorophyll-a and chlorophyll-b to be largely preserved.
Data shows that after 3 hours of cold brewing, the tea soup's *a* value (which represents greenness on a colour scale) decreased from -2.64 to -4.68 (a more negative value indicates a greener colour).
In contrast, during the same hot brewing period, the *a* value increased from -4.05 to -2.30 (indicating a loss of green colour). It's as if the chlorophyll is given a "protective shield," allowing the tea to maintain its vibrant green hue.
Furthermore, during hot brewing, high temperatures accelerate the dissolution of flavonoids. These compounds not only contribute to astringency but also tend to give the tea soup a more yellowish tint.
Cold brewing significantly reduces the extraction of flavonoids while also inhibiting the conversion of chlorophyll into brown degradation products (e.g., pheophytin). This dual action results in a cold brew tea colour that is closer to the vivid green of fresh tea leaves.
Changes in Tea Liquor Color Over Time: Cold Brew vs. Hot Brew
Conclusion
Cold brewing is far more than a simple "steep in cold water." It's a process that precisely controls the rate of molecular movement and compound stability, achieving a "targeted extraction" of flavour compounds. It retains umami, sweetness, and floral aromas, suppresses bitterness and astringency, and locks in the natural green colour.
The charm of cold brew lies in trading time for flavour. As the clock ticks, the aromatic compounds in the tea blossom layer by layer, and the taste evolves from fresh and clean to mellow and full-bodied, all while the low temperature safeguards its uniquely vibrant green hue.
For your next cold brew, try tasting it at different intervals—experience the refreshing profile at the 1-hour mark and the richer, more robust character after 3 hours. Discover the fascinating transformation of a single cup of tea, unfolding gracefully through time.